Mobile QR Code QR CODE : Journal of the Korean Society of Civil Engineers

KSCE JOURNAL OF CIVIL AND
ENVIRONMENTAL ENGINEERING RESEARCH

The Journal of Civil and Environmental Engineering Research (KSCE J. Civ. Environ. Eng. Res.) is a bimonthly journal, founded in December 1981, for the publication of peer-reviewed papers devoted to research and development for a wide range of civil engineering fields.

• Editor-in-chief: Il-Moon Chung

다중 첨가질량이 있는 복합적층판의 고유진동 해석 Analysis of the Natural Frequencies for Composite Laminated Plates with Multiple Attached Masses

https://doi.org/10.12652/Ksce.2025.45.6.0601

원치문(Won, Chi Moon)

This study analyzes the variation in the natural frequency of a simply supported composite laminated plate with multiple attached masses. Reflecting practical conditions in civil engineering applications—where composite laminated plates are often subjected to external loads and additional masses—the deflection influence coefficient method proposed by Kim was extended to account for self-weight and arbitrary multiple attached masses. The analysis target was a specially orthotropic laminated plate that exhibits quasi-isotropic behavior as the number of layers increases, with all plies assumed to have the material properties of glass fiber reinforced plastic. Numerical analyses were conducted for two cases: (1) a single attached mass applied at each of the 25 points obtained by dividing the plate into a 5×5 grid, with the mass magnitude set as N times the plate’s self-weight, and (2) one attached mass fixed at the center (3,3) while the position and magnitude of a second mass were varied to compare the natural frequencies. The first-mode natural frequency was calculated through iterative computation combining influence coefficients with deflection-based resonance conditions. The results indicate that the natural frequency decreases significantly as the attached mass increases in magnitude and approaches the plate center, and that masses placed at symmetric positions relative to the center yield similar trends. Furthermore, the extended Kim method was found to be a simple and effective approach for predicting natural frequencies in the presence of multiple attached masses. The findings of this study provide useful reference data for determining the placement and magnitude of attached masses in the vibration analysis and design of composite laminated plate structures.

산 처리 MWCNTs와 GGBS를 이용한 건축·도로 포장용 PCM 복합 모르타르의 성능 개선 Performance Enhancement of PCM Composite Mortar for Building and Pavement Applications Using Acid-Treated MWCNTs and GGBS

https://doi.org/10.12652/Ksce.2025.45.6.0615

김선교(Kim, Sun-Kyo);손현배(Son, Hyun-Bae);지성원(Ji, Sung-Won);허종완(Hu, Jong-Wan)

In this study, we evaluated the thermal and mechanical performance of PCM composite aggregate (SG), which is a composite aggregate made by impregnating activated carbon with tetradecane (PCM) and then applying a silica-based sol-gel coating, incorporated into mortar. To compensate for the strength loss caused by the application of SG, blast furnace slag powder (GGBS, 10 %) and multi-walled carbon nanotubes (MWCNTs) dispersed via ultrasonic and acid treatment were introduced together. DSC analysis revealed that SG had a reduced latent heat compared to pure PCM, but enhanced thermal stability by alleviating supercooling and suppressing leakage. Raman analysis revealed that acid-treated MWCNTs exhibited the best dispersibility due to the introduction of functional groups. Compressive strength evaluations showed that strength recovery was achieved in the GGBS-incorporated group, and the mix containing acid-treated MWCNTs exceeded OPC in 28-day strength. In thermal cycling tests, the acid-treated MWCNTs also showed improved temperature responsiveness due to increased thermal conductivity. These results confirmed that the combined use of GGBS and acid-treated MWCNTs is an effective strategy to alleviate the strength degradation problem of SG-based PCM composite aggregates and simultaneously improve thermal stability.

자동복원이 가능한 무한대형 댐퍼의 형상최적화를 위한 수치적 연구 Numerical Study for Shape Optimization of Self-restoring Infinity-shaped Dampers

https://doi.org/10.12652/Ksce.2025.45.6.0623

이헌우(Lee, Heon-Woo);아시프 라비아(Asif, Rabea);허종완(Hu, Jong-Wan)

As earthquakes increase worldwide, technological development related to seismic resistance is also steadily increasing. Given the ongoing development of new materials, the integration of seismic and new material technologies is a natural progression of technological advancement. Accordingly, this study aimed to optimize the shape of a self-restoring infinity-shaped damper using a superelastic shape memory alloy (SSMA). Conventional steel dampers experience residual deformation and performance degradation when subjected to repeated loading. To overcome this, the proposed infinity-shaped damper utilizes the properties of SSMA to automatically restore the resulting displacement. Furthermore, its innovative shape is expected to effectively dissipate energy with a small amount of material. Finite element analysis using ABAQUS was performed on ten dampers, varying the geometry, including the length of the intersection and the radius of the infinite shape. The analysis results yielded quantitative parameters for evaluating damper performance, such as maximum load and energy dissipation, and suggested an optimal shape. The infinity-shaped damper is expected to be a novel alternative in seismic design, capable of efficiently dissipating seismic energy while ensuring structural resilience.

에너지 공급 지속성을 고려한 매설 가스배관 내진설계 제안 Proposed Seismic Design Guideline for Buried Gas Pipelines Considering Energy Supply Continuity

https://doi.org/10.12652/Ksce.2025.45.6.0631

이재흔(Lee, Jae Heun);윤혜진(Yoon, HyeJin);이상호(Lee, Sangbo);조정래(Cho, Jeong-Rae)

The increasing use of renewable energy has led to greater demand for transporting alternative fuels such as hydrogen, ammonia, and biogas through buried pipelines. Ensuring the seismic integrity and functionality of these pipelines is essential for maintaining stable energy supply systems. This study proposes a seismic design guideline for buried gas pipelines that takes into account operational continuity requirements under seismic conditions. The guideline consists of three main parts: determination of the design earthquake, evaluation of design limit states, and estimation of seismic load effects. The design earthquake is defined by assigning seismic importance levels according to process classification, ensuring consistent design throughout the pipeline network. The design limit state is expressed in terms of axial strain considering pipeline failure modes. Seismic load effects are divided into wave propagation effects and permanent ground deformation effects. The former is evaluated through comparison between Rayleigh-wave-induced ground strain and pipeline axial frictional strain, while the latter is analyzed using nonlinear finite element models incorporating soil-pipeline interaction. An example design case is presented to demonstrate the applicability and reliability of the proposed guideline.

액체저장탱크 내진설계 기준의 비교분석 및 국내 기준 개선 방향 Comparative Analysis and Proposed Revisions to the Korean Seismic Design Standard for Liquid Storage Tanks

https://doi.org/10.12652/Ksce.2025.45.6.0645

조정래(Cho, Jeong-Rae);김동찬(Kim, Dongchan);이진혁(Lee. Jinhyuk);이재흔(Lee, JaeHeun);윤혜진(Yoon, Hyejin);이진호(Lee, JinHo)

Liquid storage tanks are critical components of industrial facilities, where seismic-induced leakage or rupture can trigger secondary hazards such as fire and environmental contamination. Although Korea has domestic standards including KGS GC203 and KDS 33 17 10, they do not explicitly incorporate the equivalent spring-mass models widely adopted in international standards such as ACI 350.3-20(2021), NICEE Guidelines (2007), Eurocode 8-4 (2006), and NZSEE (2009), resulting in limitations in applicability and consistency. This study addresses these gaps by comparing major domestic and international seismic design standards and proposing improvement directions to ensure operational continuity under extreme earthquakes. An equivalent spring-mass model for cylindrical and rectangular tanks was established using the ACI 350.3-20 framework and key strengths of international standards, and natural-period equations for the impulsive and convective components were developed accordingly. The proposed formulations were validated through finite-element analyses (FEA) and comparisons with analytical solutions by Haroun and Housner (1981), Veletsos (1984), and Lamb (1945), showing excellent agreement for cylindrical tanks and geometry-dependent variations for rectangular tanks. The findings are expected to support the enhancement of Korean seismic design standards and improve consistency in engineering practice.

형태학적 특징을 활용한 레이더 강우자료 기반 위험기상 식별 알고리즘 개발 Development of a Hazardous Weather Classification Algorithm Based on Radar Rainfall Data Using Morphological Features

https://doi.org/10.12652/Ksce.2025.45.6.0659

윤성심(Yoon, Seong-Sim)

Due to changes in rainfall patterns driven by climate change, the frequency and intensity of hazardous weather events such as localized heavy rain and line-shaped rainband systems that produce heavy rainfall over short periods are rapidly increasing. Early identification and prediction of the occurrence and intensity of such hazardous weather events are crucial for flood disaster response. This study adapted an algorithm to classify hazardous rainfall types (linear, stationary, and linear-stationary, others) using radar rainfall data and morphological characteristics of heavy rainfall and linear rainfall systems associated with extreme precipitation. Morphological features and stationary characteristics were distinguished based on aspect ratio, accumulated rainfall, rainfall area overlap ratio, and maximum rainfall. Using radar-based accumulated rainfall data at 3 km and 5 km spatial resolution, domestic rainfall cases from May to October 2021-2024 were analyzed to identify linear rainfall systems and heavy rainfall systems, and their occurrence locations and characteristics were examined. The 3 km resolution data more accurately classified linear-stationary rainfall patterns for typical linear rainfall system cases compared to 5 km resolution, it was confirmed that lower spatial resolution sometimes led to oversimplification of detailed structures of localized rainfall, resulting in misinterpretation of rainfall systems. Furthermore, for three major flood disaster cases, the morphological classification algorithm identified that linear-stationary rainfall types. This study confirmed the usefulness of the morphological hazardous weather classification algorithm for classifying heavy rainfall in Korea.

도심지 돌발홍수 예측을 위한 부산 소형 강우레이더의 정확도 검토 Examination of Radar Rainfall Accuracy of Busan Small Rain-radar for Urban Flash Flood Forecasting

https://doi.org/10.12652/Ksce.2025.45.6.0675

윤정수(Yoon, Jungsoo);황석환(Hwang, Seok-Hwan);강나래(Kang, Narae);김석현(Kim, Seokhyeon)

Urban watersheds have hydrological characteristics such as shorter lag time and larger peak flow and runoff volume compared to natural watersheds because of the large impervious surface area. Stormwater drainage systems and pumping stations, therefore, are being operated to respond to the hydrological characteristics of urban watersheds. However, these structural responses are limited in responding to extreme rainfall exceeding the design rainfall due to cost limitations. Recently, Ministry of Environment(ME) introduced a small rain-radar (X-band dual-polarization radar) to resolve observation gaps and respond to urban flash floods. Small rain-radar is more suitable for flood forecasting in urban areas than large rain radar (S-band dual-polarization radar) because spatio-temporal resolution of the small rain-radar is more higher. Therefore, this study examined the radar rainfall accuracy for urban flash flood utilization of Busan small rain-radar using Solid State Power Amplifier(SSPA). To this end, 38 rainfall events were applied to the accuracy review of radar rainfall. The quality of radar polarimetric variables(reflectivity, differential reflectivity and specific differential phase) provided by the small rain-radar and the accuracy before and after bias correction of the variables were examined. As a result, the accuracy of radar rainfall estimated by the speccific differential phase(KDP) algorithm was the highest, and the accuracy of the Joint Polarization Experiment(JPOLE) algorithm was also improved after bias correction.

앙상블 수문-생태 통합 모형을 활용한 멸종위기어종의 서식 가능성 분석 Analysis of Endangered Fish Distribution Using an Ensemble Hydro-ecological Model

https://doi.org/10.12652/Ksce.2025.45.6.0687

우소영(Woo, Soyoung);장선우(Chang, Sun Woo);정일문(Chung, Il-Moon)

Recent environmental changes due to climate change and urbanization are threatening the structure and function of aquatic ecosystems, and biodiversity loss and ecosystem collapse are recognized as important long-term risk factors worldwide. In particular, aquatic ecosystems are not only habitats for freshwater species but also provide various ecosystem services, which are directly related to the quality of human life. Thus, it is important to maintain stream aquatic ecosystem health. This study aimed to predict the distribution of the endangered freshwater fish (Gobiobotia naktongensis Mori) in the Nakdong River Basin by applying an integrated hydro-ecological modeling approach. The occurrence data of the endangered species were resampled to reduce data imbalance. And then we evaluated the performance of single species distribution models (GLM, RF, GBM, XGBoost, KNN, and MaxEnt) and an ensemble model using AUC, TSS, and balanced accuracy. The spatial distribution of ‘Gobiobotia naktongensis Mori’ in Nakdong river watershed were predicted by the best-performing model. The results demonstrate that the integrated hydro-ecological modeling approach can quantitatively assess potential habitat of endangered species. Also this study would be expected to provide a valuable tool for watershed-scale policy development and biodiversity conservation.

동아시아 재해 발생 특성 전망을 위한 SMILE 기후모의자료 활용 연구 - 폭염 발생 특성 - Utilizing SMILE Climate Simulations to Project Disaster Occurrence Characteristics in East Asia: A Focus on Heatwaves

https://doi.org/10.12652/Ksce.2025.45.6.0699

황석환(Hwang, Seokhwan);마정혁(Ma, Jeonghyeok);강나래(Kang, Narae);윤정수(Yoon, Jungsoo);나우영(Na, Wooyoung)

This study quantitatively evaluates the accuracy and computational efficiency of two rainfall-runoff implementations—Rain-on-Subcatchment (RoS) and Rain-on-Grid (RoG)—using the coupled 1D-2D KICT-UF model to address urban flooding. Simulations were conducted on a laboratory catchment and a real urban basin (Sangpyeong District, Jinju) under identical boundary conditions. In the laboratory experiments, RoG consistently outperformed RoS, demonstrating superior reproducibility of peak flows and temporal variations; notably, RMSE decreased by approximately 57 % under 80 mm/h rainfall. Conversely, in the real urban basin, although RoG achieved a slightly higher spatial coincidence with observed inundation traces (81.1 %), it tended to overestimate the inundated area twofold due to simplified sewer inlet representations. Regarding efficiency, RoS was approximately 12 % faster than RoG. Consequently, RoG is recommended when high-fidelity topographic and network data are available, whereas RoS serves as an efficient alternative for rapid forecasting or scenarios with substantial data uncertainties.

도시침수 수치해석에서 강우 적용방식의 정량 비교 : 실험유역과 실제유역 공동검증 Quantifying the Impact of Rainfall Application (RoS vs. RoG) in Urban Flood Modelling: Joint Validation on Laboratory and Real Basins

https://doi.org/10.12652/Ksce.2025.45.6.0711

심상보(Sim, Sang Bo);김형준(Kim, Hyung-jun)

This study quantitatively evaluates the accuracy and computational efficiency of two rainfall-runoff implementations—Rain-on-Subcatchment (RoS) and Rain-on-Grid (RoG)—using the coupled 1D-2D KICT-UF model to address urban flooding. Simulations were conducted on a laboratory catchment and a real urban basin (Sangpyeong District, Jinju) under identical boundary conditions. In the laboratory experiments, RoG consistently outperformed RoS, demonstrating superior reproducibility of peak flows and temporal variations; notably, RMSE decreased by approximately 57 % under 80 mm/h rainfall. Conversely, in the real urban basin, although RoG achieved a slightly higher spatial coincidence with observed inundation traces (81.1 %), it tended to overestimate the inundated area twofold due to simplified sewer inlet representations. Regarding efficiency, RoS was approximately 12 % faster than RoG. Consequently, RoG is recommended when high-fidelity topographic and network data are available, whereas RoS serves as an efficient alternative for rapid forecasting or scenarios with substantial data uncertainties.

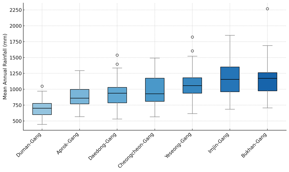
위성강수를 이용한 북한 강수특성 분석 Analysis of North Korean Precipitation Characteristics Using Satellite Precipitation

https://doi.org/10.12652/Ksce.2025.45.6.0721

김주훈(Kim. Joo Hun);김동필(Kim, Dong Phil);조용수(Cho, Yong Soo)

This study analyzed the precipitation characteristics across North Korea using the GSMaP_MVK precipitation provided by JAXA and ground-based observations from 27 meteorological stations collected through the World Meteorological Organization (WMO) Global Telecommunication System (GTS) for the period from 2008 to 2024. The results showed that the mean correlation coefficient between GSMaP_MVK and WMO daily precipitation was 0.64, indicating a moderate positive correlation. Higher correlations were observed in regions such as Kaesong, Haeju, and Pyonggang, whereas lower correlations appeared in Senbong, Chongjin, and Samjiyon. In the spatial distribution of annual precipitation, the mean annual rainfall from GSMaP_MVK was approximately 720 mm/yr, while that from WMO observations was about 890 mm/yr, indicating that the satellite data tended to underestimate precipitation by about 20-25 % compared with ground measurements. The seasonal analysis revealed that 60-70 % of the annual precipitation occurred during summer, while spring and autumn contributed 15-20 %, and winter accounted for around 4 %. Although GSMaP_MVK yielded lower precipitation values than WMO across all seasons, the overall seasonal patterns were consistently reproduced at all stations. In particular, western plains and southern regions such as Pyongyang, Sariwon, Nampo, Sinuiju, Kaesong, and Haeju exhibited strong agreement between satellite and ground observations, whereas eastern coastal and northern mountainous areas including Senbong, Wonsan, and Kimchaek showed a clear tendency of underestimation. The basin-based analysis showed that the Imjin River and Cheongcheon River basins exhibited high variability in precipitation, whereas the Duman and Aprok River basins displayed relatively stable patterns. Therefore, GSMaP satellite precipitation data can be considered reliable for representing the spatial and seasonal variability of precipitation across North Korea. When bias correction is applied to address underestimation, it provides valuable scientific input for flood estimation in inter-Korean transboundary rivers, hydrological modeling, and climate change impact assessments.

도시하천유역의 침수예측을 위한 우수관망 및 지표면 격자해상도 최적 간소화 분석 Analysis of Optimal Simplification of Storm Sewer Networks and Surface Grid Resolution for Flood Prediction in Urban River Basins

https://doi.org/10.12652/Ksce.2025.45.6.0731

심상보(Sim, Sang Bo);김형준(Kim, Hyung-jun)

This study quantifies the operational balance between accuracy and speed for the HC-SURF dual-drainage model. For Seoul's Sillim basin, we configured 16 scenarios combining 2D grid resolutions (2-100 m2) and 1D sewer network simplifications (Base-1 ha). Using the 2022 flood event, accuracy was evaluated via Critical Success Index (CSI), Probability of Detection (POD), and False Alarm Ratio(FAR) against inundation traces. Operational speed was assessed by normalizing the 6-hour wall-clock time. Results showed that 1D network detail overwhelmingly dominated accuracy. The ‘Base’ network achieved the highest CSI (0.51), while simplified networks saw a sharp CSI drop (0.31-0.37), attributed to the loss of 1D-2D flow exchange points (manholes). High-resolution 2D grids (e.g.,2 m2) improved POD but failed to increase CSI, offset by a rise in FAR due to surface runoff spreading and scale mismatch. The optimal balance, determined by the harmonic mean, was found in the 100 m2-Base and 10 m2-Base scenarios, which met the 10-minute speed target with high CSI. We conclude that preserving 1D-2D interaction points is the paramount prerequisite, with 2D grid resolution(10-100 m2) being a secondary optimization choice.

난류 확산이 적용된 수심-평균 천수 흐름 모의 Simulation of Depth-averaged Shallow-water Flow with Turbulent Diffusion

https://doi.org/10.12652/Ksce.2025.45.6.0743

황승용(Hwang, Seong-Yong)

To improve the applicability of the flow model for shallow water flow with large streamline curvature, a turbulence model was introduced to reflect eddy viscosity effects. The depth-averaged k-ε turbulence model was combined with the existing depth-averaged 2D shallow-water flow model to account for diffusion by turbulent stresses. To test how well the newly developed turbulence model and the existing flow model worked together, the implemented code was verified and validated by comparison with the laminar analytical solution and turbulent DNS results for Poiseuille flows. The developed model was applied to the abrupt width expansion and the spur dike experiments, where flow is deflected and recirculation flow occurs due to plane geometry, such as a sudden change in channel width. In the simulation of the abrupt width expansion experiment, the turbulent diffusion effect due to eddy viscosity, compared to molecular viscosity, appeared as a reduction of the recirculation zone. When the turbulence model was adopted, the recirculation length scale and the simulated longitudinal flow velocity profiles generally matched the measurements well. In the spur dike experiment where larger discharges were supplied to a narrower channel, it was difficult to properly reproduce the flow with molecular viscosity alone. When turbulent diffusion was considered, the simulated flow velocity profiles were within the vertical range of the measurements even with the increased discharge, and the RMS errors actually decreased. Thanks to the k-ε turbulence model, it was confirmed that the depth-averaged 2D simulation results for the recirculation flow agreed better with the laboratory experiment results than before.

물순환계통을 고려한 생활용수 회귀수량 예측모형 개발: 장성·담양 사례 연구 Developing a Return Flow Prediction Model for Residential Water Use under a Water-Cycle System Perspective: Case Study of Jangseong and Damyang

https://doi.org/10.12652/Ksce.2025.45.6.0765

이승연(Lee, Seoungyeon);이상은(Lee, Sangeun)

This study developed a basin-centered, areal analysis technique for residential water use to support sustainable water management. In contrast to conventional discharge prediction studies that treat each monitoring point independently, this research advances a unified modeling framework that integrates the full domestic water-cycle system and its underlying interdependencies. As a follow-up to Lee and Lee(2023), we constructed a water-cycle system for the Jangseong?Damyang(Jeollanam-do) with a more complex water-supply and sewer network. Focusing on complete measurement points, the system was defined as three inflow sites, four outflow sites, and the analysis period was 2020-01-01?2024-05-31(daily). The dataset was split into 70 % training and 30 % validation, and applied statistical models(TFM, DRM) and machine-learning models(GBR, Random Forest, Ridge regression model). Ridge regression achieved superior performance at most sites. To analyze the applicability across different lead times, recursive forecasting was applied. As a result, Y1 and Y4 were usable for Lead-1 to Lead-7 with TFM and Ridge; Y2 for Lead-1 with the Ridge; and Y3 with the Ridge for short leads and TFM for longer leads. This study integrates input?output lag structures to demonstrate improved potential for flow monitoring and prediction. Future work should incorporate exogenous variables, include incomplete measurement points, and extend to weekly and monthly time scales to better support mid- to long-term operational decision-making.

매크로조네이션에 기반한 상수도 시스템의 지진 재해 위험도 평가 Risk Assessment of Water Supply System based on Macrozonation

https://doi.org/10.12652/Ksce.2025.45.6.0779

이진영(Lee, Jin Young);채형진(Chae, Hyung Jin);곽동엽(Gwak, Dong Youp)

Seismic risk analysis of water distribution system (WDS) is essential to prepare potential seismic disaster. Previously, most seismic risk analyses for the WDS have been evaluated based on microzonation. However, microzonation has some limitations which are 1) unable to consider risk correlations among regions and 2) unable to detect more damaged regions in a relative sense. In contrast, macrozonation has the advantage when easily comparing the relative disaster risks across large regions. Hence, for the relative evaluation of seismic risk in a wide region, this study evaluates the seismic risk of the WDS for 25 districts in Seoul based on macrozonation. The locations and statistics of the Seoul WDS that consists of water intake station, water treatment plant, water reservoir, and pipelines were collected from the National Waterworks Information System and the Seoul Open Data Plaza. In addition, fragility functions of main facilities and repair rate of pipelines from the Federal Emergency Management Agency were utilized. Applying the same hazard level to all districts, the relative seismic risk of the WDS were calculated. The result shows that the south-eastern and some districts (Seongbuk-gu and Gangseo-gu) are more vulnerable and northern districts are less vulnerable. We expect that the outcome of this study can be utilized for disaster preparedness strategies and future urban planning against the seismic risk of the WDS.

하수관거정비 임대형 민자사업(BTL)의 시기별 사업 효과 분석 Analyzing the Periodical Effectiveness of a Sewer Rehabilitation Project using Build-Transfer-Lease Scheme : Case Study Approach

https://doi.org/10.12652/Ksce.2025.45.6.0789

차문호(Cha, Munho);이주희(Lee, Ju-hui);김두연(Kim, Du-Yon);윤성민(Yun, Sungmin)

The Sewer Rehabilitation Build-Transfer-Lease (BTL) projects represent a typical model of private investment in public infrastructure; however, comprehensive evaluations of their long-term effectiveness during post-construction operational periods remain limited. This study conducts a time-series analysis from the pre-rehabilitation period (2006) to the operational phase (2011–2021) to quantitatively assess the actual outcomes of a sewer rehabilitation BTL project. The analysis encompasses environmental indicators—including influent flow volume, sewer water quality (BOD, SS, T-N, T-P), and river water quality—as well as financial indicators such as operating costs and facility lease payments. Each indicator was evaluated based on annual variation rates and actual versus planned expenditure ratios. The findings reveal that while influent flow increased sharply immediately following rehabilitation, it gradually stabilized over time. Water quality parameters also showed general improvement after initial short-term fluctuations. Additionally, improvements in river water quality indicate that the rehabilitation project effectively reduced pollutant inflow, resulting in tangible environmental benefits. From a fiscal standpoint, both operating costs and lease payments were largely reduced compared to initial projections, suggesting enhanced financial efficiency. These results demonstrate that BTL projects in sewer rehabilitation can yield significant environmental and economic gains beyond mere infrastructure upgrades. Nevertheless, the study is limited by its reliance on basic time-series methods, which restrict the distinction between short- and long-term impacts. Future research should adopt more advanced time-series methodologies for refined evaluation.

개별 및 순차적 데이터 관점에서 계측데이터의 사용 가능 정보량 평가 및 계측데이터 평가에서의 선형 회귀분석의 한계 Assessment of Information Availability in Measurement Data from Individual and Sequential-wise Perspectives, with a Focus on the Limitations of Linear Regression in Data Evaluation

https://doi.org/10.12652/Ksce.2025.45.6.0801

남윤선(Nam, Yun Seon);오현주(Oh, Hyun Ju);박형춘(Park, Hyung Choon)

In major civil engineering structures, various monitoring instruments are installed. The measurements obtained from these instruments provide information related to the behavior of the target system. Therefore, the engineering utility of the measurements can be evaluated in terms of the amount of behavior-related information they contain. The information content of the measurements may differ depending on the data processing method, even when the measurements themselves are identical. Measurement data can be analyzed from two perspectives: the individual-wise perspective and the sequential-wise perspective. The individual-wise perspective corresponds to conventional data processing methods such as linear regression analysis, whereas the sequential-wise perspective corresponds to processing approaches employed in models such as LSTM or HMM. In this study, we propose a method for evaluating the usable information content of measurements from both perspectives. Through numerical simulations and applications to actual monitoring data, it was shown that the sequential-wise perspective enables more effective utilization of the information content, whereas the individual-wise perspective can only utilize a portion of the available information, depending on the case. Furthermore, by applying both numerical simulations and actual monitoring data, we evaluated the performance of a representative individual-wise method, the linear regression model, in terms of usable information content and predictive performance. The results demonstrated that the linear regression model exhibits unavoidable performance limitations under certain conditions, highlighting its inherent constraints compared with sequential-wise approaches.

피스톤방식 전동차 주공기압축기 CBM을 위한 고장물리관점의 접근법 A Failure Physics Approach to CBM for Piston Main Air Compressors

https://doi.org/10.12652/Ksce.2025.45.6.0811

박수중(Park, Soo Choong); 김시곤(Kim, Si Gon)

This paper aims to analyze the physical failure mechanism of main air compressors and propose a Condition-Based Maintenance(CBM) system that can predict the occurrence of failure based on the analysis. Physics of Failure (PoF) analysis can identify the degradation patterns of specific components, and sensors can be selected and designed to monitor these degradation characteristics. In this study, we analyze the function of the main devices of main air compressors from a failure physics perspective, analyze the physical change process based on actual failure cases, and propose a CBM application plan. First, the temperature of the compressor motor, valves, piping, etc. is measured in real time using temperature sensors to detect thermal abnormalities, which is useful for identifying wear, lack of lubrication, and deterioration inside the compressor. Second, the vibration monitoring method measures the vibration status of the main parts of the compressor, such as motors, bearings, and couplings, in real time using vibration sensors, and analyzes abnormal vibration patterns. This proposal can contribute to improving the reliability of railroad vehicles and increasing operating efficiency, and ultimately contribute to reducing maintenance costs and improving facility utilization through effective implementation of a predictive maintenance system.