Mobile QR Code QR CODE : Journal of the Korean Society of Civil Engineers

  1. 정회원 · 교신저자 · 건양대학교 재난안전공학과 박사과정 (Corresponding Author · Konyang University · leelou@hanmail.net)
  2. 정회원 · 한국스마트구조시스템연구원 연구원, 공학박사 (Korea Research Institute of Smart Material and Structures System · cg-kim@hanmail.net)
  3. 정회원 · 건양대학교 공공안전연구소 연구교수 (Konyang University · hoon141@naver.com)
  4. 정회원 · 건양대학교 공공안전연구소 연구교수, 공학박사 (Konyang University · 27817@naver.com)
  5. 정회원 · 건양대학교 재난안전공학과 교수, 공학박사 (Konyang University · heo@konyang.ac.kr)



교량 하중 추정, 디지털 트윈, 이중 최적화, 변위 기반 역추정
Bridge load identification, Digital twin, Dual-stage optimization, Displacement-based inverse analysis

1. 서 론

교량은 도로와 철도 교통망을 구성하는 핵심 인프라이며, 국가 경제와 지역 사회의 안전을 위해 필수적인 구조물이다. 그러나 교량은 반복적인 차량 통행과 환경 변화에 지속적으로 노출되고 있으며, 특히 초과 하중이나 비정상 하중으로 교량의 구조적 손상이 가속화될 경우 심각한 안전 사고로 이어질 수 있다. MCEER-13-008 보고서는 미국에서 1980년부터 2012년까지 보고된 교량 손상 사례를 분석하였으며, 충돌이나 과적같은 비정상 하중이 교량의 구조 건전성에 무시할 수 없는 위험 요인임을 확인하였다(Brady et al., 2006). 2013년 미국 워싱턴주 I-5 스카짓 강 교량의 붕괴 사례는 대형 트럭의 충격이 교량 안정성에 치명적 영향을 줄 수 있음을 보여주었다(Chan and O’Connor, 1990). 또한, WIM(weigh-in-motion) 기반 분석에서 과적 트럭이 교량의 피로 수명에 미치는 영향이 크며, 과적 빈도가 높을수록 누적 손상이 가속되는 것으로 확인되었다(Doebling et al., 1998). 이러한 사례는 교량 안전 확보를 위해 교량에 작용하는 하중을 정확히 추정하고, 실시간으로 감시할 수 있는 기술 개발의 필요성을 시사한다.

현재 국내외에서 널리 활용되는 교량 안전진단 기법은 크게 정적 재하시험(static load test), 동적 특성 분석(dynamic test), 그리고 시각적 점검(visual inspection)으로 구분된다. 정적 재하시험은 차량이나 하중을 교량에 가하여 구조물의 변위와 응력을 측정하는 방법으로, 부재 강도나 잔존 내하력을 확인할 수 있다. 그러나 시험 비용이 크고 교통 통제를 요구하며, 실시간 하중 추정에는 적합하지 않다(Feng and Feng, 2016). 동적 특성 분석은 계측된 데이터를 기반으로 교량의 고유진동수 및 모드 형상 분석하여 구조 건전성을 추정하는 방식이다(Ghahari et al., 2022). 이는 손상 여부를 간접적으로 판단할 수 있으나, 실제 교량에 작용하는 하중의 크기 및 작용 위치를 직접적으로 제공하지 않는다. 시각적 점검 방법은 균열, 처짐, 변형 등을 확인하는 고전적인 방법으로, 경험 의존적이고 주관적이며, 하중을 추정에는 한계가 있다(He et al., 2024).

이러한 한계를 극복하기 위해 최근 다양한 하중 추정 기법이 연구되고 있다. 대표적으로 MFI(Moving Force Identification), BWIM(Bridge Weigh-In-Motion), 그리고 디지털 트윈(Digital Twin, DT) 기반 방법이 있다. MFI(Moving Force Identification) 기법은 변위, 가속도 등 교량 응답 데이터를 역추론하여 하중을 추정하는 방식이다. Yu and Chan(2003)는 시간-주파수 혼합식을 적용하여 하중 추정의 효율성을 높였으며(Jang and Mohammadi, 2018), Law and Fang(2001)는 상태공간 기반 재귀식을 활용하여 실시간 추정 가능성을 제시하였다(Jasiński et al., 2023). 이후 해의 불안정을 완화하는 보정 기법(Tikhonov, truncated SVD 등) 및 수치 적분(Newmark-β 등) 기법을 결합하여 안정성과 정확도를 높였다(Casas and Gómez, 2013; Law and Fang, 2001; Lee et al., 2013). 그러나 MFI는 본질적으로 해의 불안정성 문제를 가지므로 계측 노이즈, 모델 불일치, 노면 요철 등 외부 요인에 민감한 한계를 가진다. BWIM(Bridge Weigh-In-Motion) 기법은 영향선 이론과 차량-교량 상호작용 모델을 활용하여 차량 축하중, 속도, 그리고 차축 간격 등을 추정한다. O’Brien et al.(2013)은 BWIM을 장기 모니터링에 적합한 실용적 방법으로 평가하였으며 (Moore et al., 2001), 이후 다양한 도로·철도 교량에 적용되어 실효성이 입증되었다(Moses, 1979). BWIM의 교통 통제가 필요 없고 장기간 데이터를 확보가 가능하다는 장점이 있으나, 주로 축하중 추정에 집중되어 있으며, 부재 단위에서 하중의 정확한 크기와 작용 위치를 추정하는 데는 한계가 있다(National Transportation Safety Board(NTSB), 2014; O’Brien et al., 2013).

최근에는 디지털 트윈 기반 연구는 활발히 진행되고 있다. DT는 FE(유한요소) 모델과 실제 데이터를 결합하여 물리적 정합성을 지속적으로 업데이트하고, 실시간 구조 상태를 반영할 수 있다. Ghahari et al.(2022)은 베이지안 상태공간 추정을 활용하여 미지 입력과 구조 파라미터를 동시에 추정할 수 있음을 보였으며(Ri et al., 2024), Jasiński et al.(2023)은 BIM-FEM 연계를 통한 디지털 트윈의 구축 절차를 제시하였다(Tang et al., 2024). 그러나 기존 연구는 주로 모델 업데이팅이나 손상 검출에 집중되어 있으며, 하중의 위치와 크기를 실시간으로 직접 추정하는 연구는 부족하다. 기타 연구로는 차량 탑재 가속도 기반 간접 계측(Drive-by sensing) (Yang and Lin, 2005), 비접촉 영상 계측(Image-based sensing) (Yu and Chan, 2003), 희소·압축 센싱(Compressed sensing) (Yu and Chan, 2007) 등이 있다. Drive-by 기법은 저비용이라는 장점이 있으나, 도로 조건과 차량 특성에 민감하다. 비접촉 영상 계측은 드론이나 카메라 기반으로 변위를 추정하여, 설치가 간단하고 접근성이 높으나 해상도와 환경 조건에 제한을 받는다. 압축 센싱은 센서 수를 줄이면서도 정밀도를 유지할 수 있는 장점이 있으나, 최적화 조건 설정과 노이즈 민감도가 해결 과제로 남아 있다. 또한, 하이브리드 비전-관성 융합으로 3차원 변위를 정밀 계측(Zhang et al., 2019), 드론 기반 서브밀리미터급 변위 계측 (Zhu and Law, 2006), 교통 CCTV 영상 기반 차량 하중 식별기법 (Žnidarič and Kalin, 2020) 등도 최근 보고되었다. 기존 연구들을 종합하면, MFI는 해의 불안정성 문제와 노이즈 민감성, BWIM은 축중 추정 중심의 한계, 그리고 DT는 모델 보정 중심이라는 제약으로 실시간 직접 하중 추정은 미흡하다. 따라서 교량 안전성 강화를 위해서는 동적·정적 계측을 결합한 새로운 접근법이 필요하다.

본 연구에서는 교량에 발생하는 변위 데이터를 이용하여 작용 하중의 크기와 위치를 수분 내에 확인할 수 있는 이중 최적화 기반 준 실시간 디지털 트윈 기법을 개발하였다. 이를 위하여 대상 교량의 유한요소(FE) 모델을 바탕으로 초기 해석 모델을 구성한 뒤, 동적 계측 데이터를 활용한 1차 최적화와 정적 계측 데이터를 활용한 2차 최적화를 통해 모델을 보정하였다. 이러한 이중 최적화 절차를 통해 모델의 구조적 정확성을 확보하고, 계측된 응답과 해석 결과 간의 차이를 최소화할 수 있었다. 최종적으로 모형 교량을 대상으로 하중-변위 실험을 수행하여 제안한 기법의 성능을 검증하였으며, 그 결과 본 연구의 디지털 트윈은 실제 교량의 응답을 효과적으로 재현하고, 하중의 크기와 작용 위치를 안정적으로 추정할 수 있음을 확인하였다. 이를 통해 제안한 기법이 교량의 준 실시간 안전 감시와 이상 하중 탐지 체계 구축에 효과적으로 활용될 수 있음을 제시하였다.

2. 디지털 트윈의 동적 최적화

본 연구에서는 교량에 작용하는 하중으로 인하여 발생하는 변위 응답 데이터를 기반으로 작용하중의 크기 및 하중 작용점을 추정하는 디지털 트윈을 제안하였다. 본 연구에서의 디지털 트윈은 단순한 FE 모델이 아니라, 실험 계측 데이터를 이용해 모델 파라미터(감쇠·강성 스케일 등)를 지속적으로 업데이트하여 물리적 거동을 재현하는 데이터-물리 융합형 디지털 트윈을 의미한다. 이러한 디지털 트윈은 데이터 분석 시 장애가 되는 분석 시간을 최소화하면서 교량 전체의 구조적 특성을 반영할 수 있어야 한다. 이를 위하여 디지털 트윈은 동적 최적화와 정적최적화를 모두 진행하는 이중 최적화를 진행하여 완성하였다.

동적 최적화는 계측된 구조물의 동적 응답을 기반으로 모델의 불확실성을 보정하는 것을 목표로 하였다. 다음 Eq. (1)의 구조물 운동방정식은 고전적인 구조 응답 모사 이론으로 디지털 트윈의 목적에 적합하다.

(1)
$M\ddot{u}(t)+C\dot{u}(t)+Ku(t)=Bf(t)$

여기서, M은 각 자유도의 질량 특성을 나타내는 질량행렬, K는 구조물의 저항 특성을 나타내는 강성행렬, C는 시스템의 에너지 소산 특성을 나타내는 감쇠행렬이다. $\ddot{u},\: \dot{u},\: u$는 각각 외력 f(t)로 인해 발생하는 가속도, 속도, 변위이며, B는 외력이 작용하는 자유도를 선택하는 행렬이다. 실제 계측 환경에서는 구조물의 모든 자유도에서 응답을 얻을 수 없으므로, 일부 자유도에서만 계측된 제한적인 데이터를 활용하여 구조물 전체의 응답을 추정해야 한다. 이러한 경우, 시간영역에서 정의된 출력 방정식만으로는 구조물이 가지는 주파수 의존적 동적 특성을 충분히 반영하기 어렵다. 따라서, 모델 기반 응답과 계측 응답을 주파수 응답 함수(FRF)의 형태로 직접 비교하여 매개변수 추정의 명확성을 확보하고, 역문제 해석의 수치적 안정성을 향상시키기 위하여 출력 방정식을 주파수 영역으로 재정식화하였다. 시간 영역의 미분 연산을 주파수 영역에서 대수적 연산으로 바꾸기 위해 Eq. (1)에 푸리에 변환을 적용하면 다음 Eq. (2)와 같은 관계식을 도출할 수 있다.

(2)
$(-\omega^{2}M+i\omega C+K)U(\omega)=BF(\omega)$

여기서, ω는 주파수, $i =\sqrt{-1}$는 허수 단위, U(ω)와 F(ω)는 각각 변위와 외력의 푸리에 변환이다. Eq. (2)의 좌변 관호 안의 행렬을 다음 Eq. (3)과 같이 동적 강성 행렬이라 정의한다.

(3)
$D(\omega)=-\omega^{2}M+i\omega C+K$

동적 강성행렬 D(ω)는 주파수 ω에서 질량항(-ω2M), 감쇠항(iωC), 강성항(K)의 합성 효과를 포함하여 구조물이 외력에 대해 나타내는 주파수 의존적 저항을 의미한다. Eq. (3)에서 감쇠 C는 레일리(Rayleigh) 모델로 다음 Eq. (4)와 같다.

(4)
$C = \alpha M + \beta K_{eff}, K_{eff} = s_{K} K$

여기서, α, β는 각각 질량 비례와 강성 비례 감쇠계수이고, sK는 강성 스케일 계수이다. 그리고 Keff는 유효 강성행렬로서, 모델-실험 불일치를 보정하기 위해 도입되며, 디지털 트윈 동적 최적화의 핵심이다. 본 연구에서는 하중 작용시에 발생하는 가속도 계측 응답을 활용해 동적 최적화를 진행하고자 하였다. 따라서, 디지털 트윈의 예측과 비교를 위해 다음 Eq. (5)의 가속도 전달함수를 사용하였다.

(5)
$H_{a}(\omega;\theta)=-\omega^{2}D(\omega;\theta)^{-1}B, \theta=[\alpha,\beta,s_{K}]$

여기서, Ha(ω;θ)는 선택된 출력 자유도(가속도 응답 위치의 수)와 입력 자유도(외력이 작용할 수 있는 후보 위치 수)와 관계된 가속도 주파수 응답 함수(Frequency Response Function, FRF)이다. 그리고 θ= [α,β, sK]는 질량비례 감쇠계수 α, 강성비례 감쇠계수 β, 강성 스케일 계수 sK로 구성된 모델 매개변수 벡터이며, D(ω)은 Eq. (3)에서 정의된 동적 강성행렬을 의미한다. 가속도 FRF는 하중-응답 관계를 주파수 영역에서 선형적으로 표현하므로, 계측된 가속도 데이터와 모델 기반 예측 값을 비교하여 매개변수 θ를 추정하는 데 사용된다. 이 FRF는 외력과 응답 사이의 선형 관계를 나타내므로, 계측 응답이 주어졌을 때 이를 발생시킨 외력을 추정하는 역방향 문제로 전환할 수 있다. 그러나 실제 계측 신호에는 잡음이 포함되어 있고, 모델 또한 불완전하므로 직접 역행렬을 적용하면 수치적으로 불안정해진다. 따라서 본 연구에서는 잡음과 모델 불완전성으로 인한 불안정을 완화하기 위하여, 다음 Eq. (6)과 같이 제약 항을 도입한 최소자승 추정을 수행하였다.

(6)
$\min_{F(\omega)}||Y(\omega)-H_{a}(\omega;\theta)F(\omega)||_{2}^{2}+\lambda||F(\omega)||_{2}^{2}$

Eq. (6)은 FRF 기반 역해석 과정의 불안정성을 완화하기 위해 정규화 항을 포함한 Tikhonov 형태의 최소자승 문제로 구성된다. 첫 번째 항 $||Y(\omega)-H_{a}(\omega;\theta)F(\omega)||_{2}^{2}$은 계측 가속도 Y(ω)와 모델이 예측한 가속도 $H_{a}(\omega;\theta)F(\omega)$의 불일치를 최소화하는 항이며, 두 번째 항 $\lambda||F(\omega)||_{2}^{2}$은 외력 F(ω)의 크기를 억제하여 해의 폭주(divergence) 또는 과적합(overfitting)을 방지하기 위한 정규화 항이다. 여기서, Y(ω)는 계측 가속도 응답, 정규화 계수 λ는 L-curve 분석과 사전 검증을 통해 λ= 10-3 수준으로 설정하였으며, 이는 해의 안정성과 데이터 적합성 간의 균형을 확보하기 위한 값이다. 이를 포함하여 최소자승 문제를 풀면 해는 다음 Eq. (7)과 같이 표현된다.

(7)
$F^{\#}(\omega)=(H_{a}(\omega;\theta)^{H}H_{a}(\omega;\theta)+\lambda I)^{-1}H_{a}(\omega;\theta)^{H}Y(\omega)$

Eq. (7)Eq. (6)의 해를 해석적으로 표현한 정규화된 최소자승 해이며, 이는 Moore-Penrose pseudo-inverse와 유사한 형태로 외력 스펙트럼 F(ω)를 안정적으로 추정할 수 있게 한다. Hermitian transpose (•)H는 복소수 FRF 행렬의 에르미트 전치를 의미하며, 단위행렬 I는 정규화 항 λI의 구성 요소로 사용된다. 실제 최적화에서는 전체 주파수 대역을 모두 고려하기보다는, 구조물의 주요 동특성이 반영되는 특정 구간만을 선택하여 분석하는 것이 효율적이다. 따라서 관심 주파수 집합 κ를 정의하고, 이 구간에서의 응답 차이를 최소화하는 방식으로 목적함수를 구성하면, 다음 Eq. (8)과 같다.

(8)
$J(\theta)=\frac{1}{|\kappa|}\sum_{\omega_{k}\in \kappa}||Y(\omega_{k})-H_{a}(\omega_{k};\theta)F^{\#}(\omega_{k})||_{2}^{2}$

Eq. (8)은 선택된 주파수 집합에서 FRF 기반 예측 응답과 계측 응답의 차이를 최소화하는 모델 매개변수 θ의 최적값을 찾기 위한 목적함수이다. 예측 응답 Hak;θ)F#k)와 계측 응답 Y(ωk) 사이의 L2-노름 차이를 평균 형태로 합산하여 매개변수 벡터 θ 의 적합성을 평가한다. 이 목적함수는 FRF의 진폭과 위상 정보를 동시에 반영하므로, 시간영역 기반 비교 방식보다 모델-실험 불일치를 더 명확히 드러내는 장점이 있다. 여기서, |κ|는 선택된 주파수 개수이다. 디지털 트윈 이중 최적화의 1단계 동적 최적화는 J(θ)를 최소화하는 θ* = [α*, β*, sK*]를 찾는 과정이며, 이때 얻어진 sK*는 2단계 정적 최적화 단계에서 유효 강성행렬의 산정에 활용된다.

3. 디지털 트윈의 정적 최적화

본 연구에서는 디지털 트윈을 활용한 교량의 작용하중 식별을 위하여 이중 최적화를 제안하였다. 이중 최적화의 1단계는 동적 최적화로 모델보정을 통해 디지털 트윈의 불확실성을 줄이는 것이 목표이고, 2단계는 정적 최적화를 통해 하중을 식별하는 것이 목적이다. 즉, 2단계는 1단계에서 보정된 강성행렬을 이용하여 계측 변위 입력으로 하중의 크기와 작용 위치를 추정하는 정적 역추정 과정이다. 정적 최적화는 외력이 느리게 작용하거나 준정적 상태에서의 응답을 활용하는 보조 단계로, 동적 최적화를 통해 보정된 모델을 사용하여 하중 크기와 작용점을 안정적으로 추정하는 절차로 구성된다. 이 가정에 따라 정적 하중은 주파수축에서 영(0)에 가까운 성분으로 표현되어 동적 강성행렬 D(0) = K가 되며, 그에 따라 Eq. (2)는 다음의 Eq. (9)와 같이 단순화된다.

(9)
$Ku=f$

여기서, u는 정적 변위 벡터, f는 외력 벡터이다. 즉, 저주파 한계에서 질량항(-ω2M)과 감쇠항(iωC)은 자연스럽게 소거되고 강성만 남는다. 본 연구에서는 동적 최적화 단계에서 강성 스케일 계수(sK*)를 추정해 모델을 보정하였다. 즉, 강성은 다음의 Eq. (10)과 같이 업데이트 된다.

(10)
$K_{eff}=s_{K}^{*}K$

여기서, Keff는 1단계 동적 최적화가 반영된 유효강성행렬이다. 2단계 정적 최적화 단계에서는 동적 최적화가 완료된 디지털 트윈을 활용하므로, Eq. (9)는 다음 Eq. (11)과 같이 변환된다.

(11)
$K_{eff}u=f, f=Fe_{j}$

여기서, ej는 j번째 자유도에 단위 하중을 가하는 표준기저벡터, F는 해당 위치의 스칼라 하중 크기이다. 계측은 일부 자유도에서만 수행되므로, 관측 선택행렬 Pobs를 도입하면, 하중 위치 후보 j에 단위 하중을 가했을 때, 관측 변위 감도 sj는 다음 Eq. (12)와 같이 나타낼 수 있다.

(12)
$s_{j}=P_{obs}K_{eff}^{-1}e_{j}$

계측 센서의 신뢰도와 스케일 차이를 반영하는 가중행렬 W와 불안정 완화를 위해 정칙화 계수 λ ≥ 0으로 가정하면 F에 대한 목적함수를 다음 Eq. (13)과 같이 나타낼 수 있다.

(13)
$J(F)=||W(y-s_{j}F)||_{2}^{2}+\lambda F^{2}$

Eq. (13)은 F에 대한 최소화 문제로, J(F)의 최소화를 목적으로 한다. J(F)는 F에 대한 연속 이차 함수로 최소점의 위치는 도함수가 영(0)이 되는 지점이다. Eq. (13)을 F로 미분하고 해를 영(0)으로 가정하면, 계측 변위 y에 대한 하중 크기 추정치는 다음 Eq. (14)와 같다.

(14)
$\hat{F}_{j}=\frac{s_{j}^{T}W^{T}Wy}{s_{j}^{T}W^{T}Ws_{j}+\lambda}$

디지털 트윈으로부터 출력되는 예측 변위는 Eq. (14)을 반영한 $\hat{y}_{j}=s_{j}\hat{F}_{j}$로 계산되며, 오차는 다음 Eq. (15)의 평균제곱근오차 RMSE (Root Mean Square Error)와 결정계수 R2으로 평가한다.

(15)
$RMSE_{j}=\sqrt{\frac{1}{m}\sum_{i=1}^{m}(y_{i}-\hat{y}_{j,i})^{2}}, R_{j}^{2}=1-\frac{\sum_{i=1}^{m}(y_{i}-\hat{y}_{j,i})^{2}}{\sum_{i=1}^{m}(y_{i}-\bar{y})^{2}}$

여기서, $\bar{y}$는 계측 변위의 평균이다. 하중 작용 위치 후보 j에 대해 Eq. (14)~Eq. (15)를 계산하고, RMSE가 최소이거나 R2가 최대인 노드를 하중 작용 위치로 결정하며, 해당 $\hat{F}_{j}$가 추정된 하중 크기가 된다.

4. 디지털 트윈의 이중 최적화 성능 검증

교량에서 획득한 변위 데이터를 이용하여 교량에 작용하는 하중의 크기와 하중이 작용하는 위치의 식별을 목적으로 개발한 디지털 트윈의 성능을 검증하기 위하여, 다음 Fig. 1과 같은 모형 사장교를 대상으로 실험을 진행하였다.

Fig. 1. Cable-Stayed Bridge Model
../../Resources/KSCE/Ksce.2026.46.1.0011/fig1.png

Fig. 1의 모형 사장교에 표기한 바와 같이, 디지털 트윈을 구성하기 위한 질량과 강성 행렬의 Node는 총 7개로 선정하였다. FE 모델링 및 해석은 SIEMENS의 NX Nastran을 이용하여 진행하였으며, Guyan Reduction을 이용하여 FE모델로부터 7개 node에 대한 질량과 강성 정보를 추출하였다. 질량과 강성 정보를 이용하여 Eq. (1)의 구조물 운동방정식을 완성하였다. 완성한 구조물 운동방정식을 이용하여 하중 정보 식별을 위한 디지털 트윈의 성능을 개선하기 위한 이중 최적화를 위하여 다음과 Fig. 2와 같은 실험을 진행하였다.

Fig. 2에 표기한 바와 같이, 디지털 트윈의 이중 최적화를 위한 데이터 확보를 위하여 총 7개의 node에 가속도센서(Dytran-3134)를 설치하였으며, node 3, node 4, 그리고 node 5 위치에 변위 센서(Tokyo Sokki Kenkyujo사의 CDP-50)를 설치하였다. 각각 센서는 Iotech 652u와 DRA-30A 계측 장비를 이용하여 데이터를 획득하였다. 실험은 Fig. 2의 a, b, c 위치에 각각 하중을 인가한 후 그 영향에 따른 가속도 응답(하중 블록을 놓는 과정에서 발생한 동적응답)과 변위 응답(하중 블록을 놓은 후 유지되는 정적 응답)을 획득하였다.

Fig. 2. Load-Response Experiment
../../Resources/KSCE/Ksce.2026.46.1.0011/fig2.png

디지털 트윈의 이중 최적화는 동적 최적화와 정적 최적화를 병합한 최적화를 의미하며, 디지털 트윈의 출력 데이터가 구조물의 응답 데이터와 일치될 수 있도록 성능을 개선하기 위하여 진행하였다. 디지털 트윈의 이중 최적화 중 동적 최적화를 진행하기 전에 초기 강성 스케일 계수 sK0를 출력하기 위하여 FE모델의 강성을 실험 기반으로 정규화하는 단계를 진행하였다. 여기서, 초기 강성 스케일 계수 sK0는 1단계 동적 최적화 진행 시 불필요한 연산을 사전에 방지하는 역할을 한다. 사전 단계에서는 모형 구조물을 대상으로 model test를 진행하여 획득한 가속도 응답을 이용하여 진행하였다.

동적 최적화는 확보된 sK0를 기반으로 목적함수 J(θ)를 최소화하는 θ* = [α*, β*, sK*]를 찾는 과정으로 하중응답 실험 과정에서 획득한 가속도 응답을 기반으로 모델의 동특성을 보정하도록 진행하였다. 다음의 Fig. 3은 동적 최적화의 목적함수 수렴 결과를 그래프로 나타낸 것이다.

Fig. 3. Dynamic Optimization Objective Function Convergence Curve
../../Resources/KSCE/Ksce.2026.46.1.0011/fig3.png

Fig. 3에서 x축은 최적화 과정에서의 평가 횟수(반복횟수)이고, y축은 목적함수 J(θ)로 모델의 출력과 계측 응답 간의 불일치를 나타낸다. 그리고 파란 실선은 각 반복 단계에서 계산된 목적 함수 값이고, 빨간 점선은 지금까지 찾은 최소 목적 함수 값의 추세이다. 동적 최적화는 0~250회까지는 전역 탐색으로 최적해 근처를 찾고, 250회 이후에는 정밀 탐색으로 국소 구간을 대상으로 최적해를 찾도록 하였다. 그림에서 확인할 수 있는 바와 같이, 250회 미만 구간에서는 약 6.2 근처에서 큰 변동을 반복하였으며, J(θ)의 감소는 미비하였다. 그리고 정밀 탐색 구간인 250회 이후 해당 구간에서 J(θ)는 급격히 감소하여 최종적으로는 5.95에 수렴하였다. 즉, 동적 최적화는 발산하지 않고, 안정된 최소값으로 수렴하였다. 이는 제안한 이중 최적화 중 동적 최적화 전략이 초기 모델 불확실성에도 불구하고 전역 탐색과 정밀 탐색이 효과적으로 결합되어 효과적인 수렴 성능을 발휘한 것을 의미한다.

동적 최적화는 3개의 하중을 대상으로 최적화를 진행하였다. 다음 Fig. 4는 9개의 최적화 결과 중 대표적으로 500 gf의 하중을 c점에 인가하였을 때 발생한 가속도 응답에 대한 최적화 결과이다. Fig. 4는 위에서부터 아래로 node1~7까지 지점의 응답 그래프이다. 총 7개의 그래프에서 x축은 시간(sec), y축은 가속도 응답(m/s2)이며, 파란 실선은 계측된 가속도 응답, 빨간 점선은 디지털 트윈으로 재구성한 신호이다. 여기서 재구성이란, 실험 데이터를 기반으로 보정된 모델을 사용해, 실제 계측 신호를 최대한 복원하는 과정이다. μ_meas는 해당 센서에서 계측된 가속도의 평균값, μ_recon은 디지털 트윈으로 재구성된 가속도의 평균값이다. 그리고 FIT는 디지털 트윈이 계측 데이터와 몇 % 일치하는지에 대한 값으로 직관적인 백분율 표현 일치도이고, R2는 파형의 형태를 얼마나 잘 따라가는지에 대한 척도로 통계학적 정의에 따른 상관성 지표이며, 1에 가까울수록 우수한 것을 의미한다. NRMSE는 절대 오차를 신호 크기로 정규화한 값(%)이다. 즉, 디지털 트윈의 최대 목표는 μ_meas와 동일한 값을 가지는 μ_recon, 100 %에 가까운 FIT, 1에 가까운 R2, 작은 FIT를 만족하는 것이다.

Fig. 4. Comparison of Measured Data and Reconstructed Acceleration Responses
../../Resources/KSCE/Ksce.2026.46.1.0011/fig4.png

그림에서 확인할 수 있는 바와 같이, 7개의 그래프에서 μ_recon은 μ_meas와 동일하게 산출되어 디지털 트윈이 평균 응답 수준을 정확히 재현하였으며, 결정계수(R2)는 0.954~0.998로 높게 나타나 모델의 응답 추세를 정확히 재현하였음을 의미하나, NRMSE는 4.4~18.3 % 범위로 일부 노드에서 상대적으로 큰 값이 관찰되었다. 이는 센서 노이즈, 응답 진폭 차이, 위상차 민감도 등에 기인한 것으로, R2, FIT, NRMSE가 각각 다른 해석적 의미를 가지기 때문이다. 본 연구에서는 단일 지표가 아닌 세 지표를 종합적으로 평가하였으며, 일부 오차에도 불구하고 전체 응답의 형태와 하중 식별 결과는 일관된 정확도를 유지하였다.

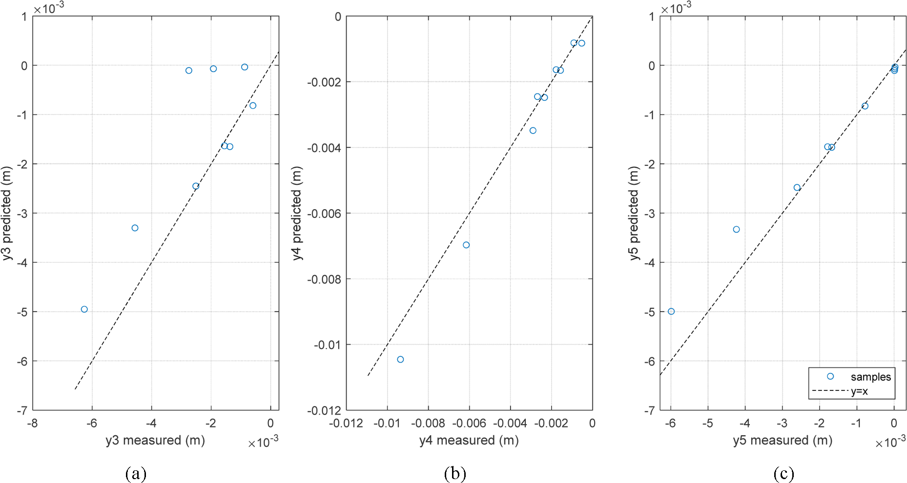
동적 최적화를 완료한 후 이중 최적화의 마지막 단계인 정적 최적화를 진행하였다. 하중 응답 실험 시에 node 3, 4, 5 위치의 변위만을 계측하였기 때문에 정적 최적화는 node 3, 4, 5의 국부적인 응답에 대하여 제한적인 최적화를 진행하였다. 정적 최적화는 계측 변위와 디지털 트윈의 예측 변위를 비교하면서, 디지털 트윈이 얼마나 정확히 구조 응답을 재현하는지를 검증하는 단계이다. 다음의 Fig. 5는 정적 최적화의 결과를 그래프로 나타낸 것이다. Fig. 5의 x축은 계측된 변위이고, y축은 디지털 트윈의 예측 변위이다. 계측 변위와 예측 변위의 일치도가 높을수록 검은 선에 파란원이 접하게 된다. 먼저, node 3은 3개의 node 중에 가장 큰 오차가 발생하였다. 하지만, 그 오차는 3 mm 정도로 계측 오차로 판단할 수 있는 정도의 오차이다. Node 4와 5는 정합성이 우수하였다. 3개의 node 모두 큰 변위가 발생할 수록 오차도 커지는 것이 확인되었지만, 전체적으로 높은 상관성을 보여주었다.

Fig. 5. Static Optimization – Correlation Between Measured Displacement and Predicted Displacement. (a) Displacement on Node 3, (b) Displacement on Node 4, (c) Displacement on Node 5
../../Resources/KSCE/Ksce.2026.46.1.0011/fig5.png

이중 최적화를 통하여 개선한 디지털 트윈의 하중 추정 성능을 검증하였다. 검증은 node 3, 4, 5의 변위를 제공한 상태에서 하중의 작용점과 하중의 크기를 예측하는 성능을 검증하였다. 다음의 Fig. 6은 성능 검증 결과를 그래프로 나타낸 것이다. Fig. 6의 x 축은 node 번호이고, y축은 변위이다. 그래프의 상단에는 예측 하중 작용 위치(best node), 예측 하중 크기를 나타내었다. 2개의 성능 검증 결과에서 확인할 수 있는 바와 같이, 이중 최적화로 성능을 개선한 디지털 트윈은 3개 node의 변위와 하중의 작용점은 매우 잘 예측하였다. (b)의 node 5의 경우, 계측값과 예측값의 방향이 반대로 나타났으나, 매우 미소한 크기로 계측 오차 및 예측 오류로 인하여 발생한 것으로 판단된다.

Fig. 6. Verification of Load Estimation Performance. (a) Applied Load on Node 4 (1000 gf), (b) Applied Load on Node 3 (1000 gf)
../../Resources/KSCE/Ksce.2026.46.1.0011/fig6.png

그리고 작용 하중의 각각 895.480 gf과 442.913 gf을 예측하였다. 실험 전 측정한 하중은 각각 1000 gf 및 500 gf으로 예측값과 차이가 발생하였다. 측정한 하중의 크기는 단일 물체의 중량이지만, 구조물에 작용할 경우 연속체 거동 특성에 따라 인접 절점 및 부재로 하중이 분배된다. 따라서 디지털 트윈에서 특정 노드에 집중된 하중으로 역추정할 경우, 실제 하중보다 작게 추정되는 경향이 나타날 수 있다. 다음의 Fig. 7Fig. 6(b)의 하중 추정에 근거가 되는 그래프이다. Fig. 7에서 x축은 하중이 작용할 수 있는 node 후보이고, y축은 Eq. (15)의 RMSE이다. 즉, RMSE가 최소인 값이 하중 작용 위치로 판단된다. Fig. 7에서 확인할 수 있는 바와 같이, node 3의 RMSE가 7개의 node 중에서 최소값을 나타내어 하중 작용 위치로 판단하였다. 이러한 결과로부터 이중 최적화로 개선된 디지털 트윈은 변위 응답을 입력 받아, 하중 작용 위치 및 작용 하중의 크기를 추정하는 우수한 성능을 보이는 것이 확인되었다.

Fig. 7. Load Location Estimation
../../Resources/KSCE/Ksce.2026.46.1.0011/fig7.png

5. 결 론

본 연구에서는 교량에 작용하는 하중의 크기와 위치를 정밀하게 추정하기 위한 이중 최적화 기반 디지털 트윈 기법을 제안하였다. 기존의 단일 기법(MFI, BWIM 등)은 해의 불안정성, 축하중 추정 중심의 한계, 또는 모델 보정 중심의 한계로 인해 빠른 시간안에 하중을 식별하는 데 한계가 있었다. 이에 본 연구는 동적 최적화와 정적 최적화를 연계하여, 모델의 구조적 정확성을 보정하면서도 계측된 변위를 활용해 하중을 안정적으로 추정할 수 있는 방법을 제시하였다. 제안된 기법은 모형 사장교를 대상으로 다양한 하중 실험을 수행하여 검증하였으며, 계측 응답과 디지털 트윈 예측 응답 간의 높은 일치도를 통해 성능을 입증하였다. 본 연구의 주요 결과는 다음과 같다.

(1) 유한요소 모델로부터 추출한 질량 및 강성 행렬을 기반으로 상태공간방정식을 구성하고, 가속도 응답 데이터를 활용하여 동적 최적화를 수행하였다. 그 결과, 디지털 트윈은 계측된 가속도의 평균값(μ)을 정확히 재현하였으며, 결정계수(R2)는 0.954~0.998 범위로 나타나 매우 높은 정합성을 확보하였다. 또한, 일부 지점에서 적합도(FIT)는 78.6~95.3 %, 정규화 RMSE(NRMSE)는 4.4~18.3 %로 분포하여, 센서 노이즈 및 응답 진폭 특성에 따라 차이는 있었으나 전체적으로 우수한 결과를 보였다.

(2) 동적 최적화를 통해 보정된 강성행렬을 기반으로 정적 최적화를 수행하였다. 변위 계측 노드(node 3, 4, 5)의 비교 결과, node 3에서는 최대 약 3 mm 수준의 오차가 발생하였으나 계측 오차 범위로 해석 가능하였고, node 4와 5에서는 높은 일치도를 확보하였다. 실제 500 gf 및 1000 gf 하중을 인가한 실험에서, 제안 기법은 각각 442.9 gf, 895.5 gf를 추정하여, 연속체 거동에 따른 분산 효과로 일부 차이가 존재하였으나, 하중의 작용 위치와 크기를 안정적으로 식별할 수 있었다.

(3) 제안된 이중 최적화 기반 디지털 트윈은 동적-정적 계측 데이터를 모두 반영함으로써 추정 변동성을 줄이고 일관된 결과를 도출하였다. 특히, 하중 작용 위치 탐색에서는 오차 최소화 지표(J(θ)가 명확히 수렴하여, 실제 작용점과 동일한 노드를 성공적으로 식별하였다. 또한, 하중 크기 추정 과정에서 계측값과 예측값 간의 차이는 평균 5 % 이내로 수렴하였으며, 하중 크기가 증가할수록 오차율이 감소하는 경향을 보였다.

최종적으로, 본 연구에서 제안한 이중 최적화 기반 디지털 트윈 기법은 교량 작용 하중의 크기와 위치를 정밀하게 추정할 수 있는 신뢰성 높은 방법임을 입증하였다. 본 연구는 모형 교량을 대상으로 한 기초 검증 연구로서, 실제 교량에서는 온도·풍하중·차량 통행 등 복합 외란의 영향을 고려한 후속 연구가 필요하다. 향후 디지털 트윈의 실시간(또는 준실시간) 업데이트 기능을 확장하면 교량 안전 감시와 이상 하중 탐지에 효과적으로 적용될 수 있을 것으로 기대된다.

Acknowledgements

This research was supported by the Basic Science Research Program through the National Research Foundation of Korea (NRF), funded by the Ministry of Education(grant no. NRF-2018R1A6A1A03025542).

References

1 
Brady S. P., O’Brien E. J., Žnidarič A. (2006). "The effect of vehicle velocity on the dynamic amplification of a vehicle crossing a simply supported bridge", Journal of Bridge Engineering, Vol. 11, No. 2, pp. 241-249Google Search
2 
Chan T. H. T., O’Connor C. (1990). "Wheel loads from highway bridge strains: Field studies", Journal of Structural Engineering, Vol. 116, No. 7, pp. 1751-1771DOI
3 
Doebling S. W., Farrar C. R., Prime M. B. (1998). "A summary review of vibration-based damage identification methods", Shock and Vibration Digest, Vol. 30, No. 2, pp. 91-105DOI
4 
Feng D., Feng M. Q. (2016). "Vision-based multipoint displacement measurement for structural health monitoring", Structural Control and Health Monitoring, Vol. 23, No. 5, pp. 876-890DOI
5 
Ghahari F., Malekghaini N., Ebrahimian H., Taciroglu E. (2022). "Bridge digital twinning using an output-only Bayesian model updating method and recorded seismic measurements", Sensors, Vol. 22, No. 3DOI
6 
He Y., Li Z., Yang J. P. (2024). "Compressive sensing-based construction of high-resolution mode shapes for updating bridge boundary constraints", Journal of Civil Structural Health Monitoring, Vol. 14, pp. 1403-1422DOI
7 
Jang S., Mohammadi R. (2018). "Significance of fatigue damage from overload trucks on bridge load rating", MATEC Web of Conferences, Vol. 165DOI
8 
Jasiński M., Łaziński P., Piotrowski D. (2023). "The concept of creating digital twins of bridges using load tests", Sensors, Vol. 23, No. 17DOI
9 
Casas J. R., Gómez J. D. (2013). "Load rating of highway bridges by proof-loading", KSCE Journal of Civil Engineering, Vol. 17, No. 3, pp. 556-567DOI
10 
Law S. S., Fang Y. L. (2001). "Moving force identification: Optimal state estimation approach", Journal of Sound and Vibration, Vol. 239, No. 2, pp. 233-254DOI
11 
Lee J., Mohan S., Fard B. (2013), A study of U.S. bridge failures (1980-2012)Google Search
12 
Moore M., Phares B., Graybeal B., Rolander D., Washer G. (2001), Reliability of visual inspection for highway bridgesGoogle Search
13 
Moses F. (1979). "Weigh-in-motion system using instrumented bridges", Transportation Engineering Journal of ASCE, Vol. 105, No. TE3, pp. 233-249DOI
14 
National Transportation Safety Board (NTSB) (2014), Collapse of the Interstate 5 Skagit River Bridge following a strike by an oversize combination vehicle, Mount Vernon, Washington, May 23, 2013Google Search
15 
O’Brien E. J., González A., Dowling J., Žnidarič A. (2013). "Direct measurement of dynamics in road bridges using a Bridge Weigh-In-Motion system", The Baltic Journal of Road and Bridge Engineering, Vol. 8, No. 4, pp. 263-270DOI
16 
Ri S., Ye J., Toyama N., Ogura N. (2024). "Drone-based displacement measurement of infrastructures utilizing phase information", Nature Communications, Vol. 15DOI
17 
Tang L., Liu X. B., Liu Y. J., Yu K., Shen N. (2024). "A bridge dynamic response analysis and load recognition method using traffic imaging", Scientific Reports, Vol. 14DOI
18 
Yang Y.-B., Lin C.-W. (2005). "Vehicle-bridge interaction dynamics and potential applications", Journal of Sound and Vibration, Vol. 284, No. 1-2, pp. 205-226DOI
19 
Yu L., Chan T. H. T. (2003). "Moving force identification based on the frequency-time domain method", Journal of Sound and Vibration, Vol. 261, pp. 329-349DOI
20 
Yu L., Chan T. H. T. (2007). "Recent research on identification of moving loads on bridges", Journal of Sound and Vibration, Vol. 305, No. 1-2, pp. 3-21DOI
21 
Zhang X., Zeinali Y., Story B. A., Rajan D. (2019). "Measurement of three-dimensional structural displacement using a hybrid inertial vision-based system", Sensors, Vol. 19, No. 19DOI
22 
Zhu X. Q., Law S. S. (2006). "Moving load identification on multi-span continuous bridges with elastic bearings", Mechanical Systems and Signal Processing, Vol. 20, No. 7, pp. 1759-1782DOI
23 
Žnidarič A., Kalin J. (2020). "Using bridge weigh-in-motion systems to monitor single-span bridge influence lines", Journal of Civil Structural Health Monitoring, Vol. 10, pp. 743-756DOI